Events
Oscilla Power visits SNL
On March 24, 2015 Sandia’s Water Power
Technologies department hosted Rahul Shendure, Balakrishnan Nair, and Tim
Mundon from Oscilla Power. The purpose
of the meeting was to have an in-depth introduction to both organizations and
discuss possible areas of interest for future collaboration. Oscilla discussed results from recent device
testing and Sandia presented the status of various wave energy research
projects currently underway. The visit
concluded with a tour of Sandia’s Advanced Materials Laboratory
facilities.
Daniel
Laird, (505) 844-6188.
OMAE2015 Attendance
Sandia National Laboratories’ Water Power
Technologies department staff Kelley Ruehl, Carlos Michelen and Ryan Coe
attended the ASME 2015 34th International Conference on Ocean, Offshore and
Arctic Engineering (OMAE2015)
in St. John's, Newfoundland, Canada from May 31 - June 5, 2015. This year
OMAE2015 had sessions on the following topics: Offshore Technology, Structure
Safety and Reliability, Materials Technology, Pipeline and Riser Technology,
Open Space Utilization, Ocean Engineering, Ice Engineering, CFD and VIV, Ocean
Renewable Energy, Offshore Geotechnics, Petroleum Technology, and Marine
Hydrodynamics. The three attendees presented papers, chaired technical sessions
on Ocean Renewable Energy in the Wave Energy topic area, and discussed
opportunities for collaboration with other researchers from around the world.
The following papers were authored by the SNL staff and will be published in
the conference proceedings:
[1] R. So, A. Simmons, T. Brekken, K. Ruehl, and
C. Michelen, “Development of PTO-Sim: a power performance
module for the open-source wave energy converter code WEC-Sim,” in Proceedings
of the ASME 2015 34th International Conference on Ocean, Offshore
and Arctic Engineering (OMAE2015), St. John’s, Newfoundland. ASME, 2015.
[2] M. Lawson, B.B. Garzon, F. Wendt Y. Yu, and
C. Michelen, “COER hydrodynamic modeling competition:
modeling the dynamic response of a floating body using the WEC-Sim and FAST
simulation tools,” in Proceedings of the ASME 2015 34th
International Conference on Ocean, Offshore and Arctic Engineering (OMAE2015),
St. John’s, Newfoundland. ASME, 2015.
[3] Y. Yu, J.V. Rij, R. Coe, and M. Lawson, “Development and application of a methodology
for predicting wave energy converters design load,” in Proceedings
of the ASME 2015 34th International Conference on Ocean, Offshore
and Arctic Engineering (OMAE2015), St. John’s, Newfoundland. ASME, 2015.
[4] R.G. Coe and D.L. Bull, “Sensitivity of a wave energy converter
dynamics model to nonlinear hydrostatic models,” in Proceedings
of the ASME 2015 34th International Conference on Ocean, Offshore
and Arctic Engineering (OMAE2015), St. John’s, Newfoundland. ASME, 2015.
Additionally, the joint SNL and NREL team won
the OMAE 2015 Competition
on Hydrodynamic Modelling of a Rigid Body (COER)
based on their submission using the WEC-Sim and FAST codes [2].
Kelley Ruehl, (505) 284-8724.
Carlos Michelen, (505) 284-5774.
Ryan Coe, (505) 845-9064.

Figure 1.
WEC-Sim team accepting the OMAE2015 Code Competition Award
Wind Energy
Structural Health Monitoring and Prognostics Management for Offshore Wind
Plants: Final Report
In March
2015, Sandia National Laboratories completed a four-year research study on the
topic of Structural Health and Prognostics Management (SHPM) for offshore wind
plants. The Sandia SHPM program focused
on research to develop and evaluate technical innovations showing promise for
maximizing plant revenues and reducing LCOE for offshore wind plants through
use of SHPM-based technologies. The
findings of the SHPM program are documented in a final report and in reports
available on the project website.
The final report is a compilation of research efforts –
funded by the US Department of Energy Wind and Water Power Technologies Office
over a four-year period from FY11 through FY14. A major focus was on
development of damage detection strategies for the most frequent blade damage
conditions and damage mitigation and life-extension strategies via changes in
turbine operations (smart loads management).
The project was led by Sandia and included major contributions from ATA
Engineering, Purdue University, Georgia Tech, and Vanderbilt University.
When
considering offshore siting and operations, a particular focus is to mitigate
the large rise in costs for offshore O&M due to access difficulty, weather,
high sea states, etc. (as illustrated in Figure 2) using structural health
monitoring and prognostics management.

Figure 2.
Illustration of Offshore Wind Accessibility Challenges (Weather, High Sea
States, and Remote Access) that Motivate the Need for Structural Health and
Prognostics Management
With the
overall goals to significantly reduce O&M costs and increase energy capture,
the motivations behind the Sandia research were to develop and evaluate new
strategies – robust and cost-effective SHPM strategies that can ensure
operations in a desired (designed) safe state of health, aid in planning of
maintenance processes versus more costly unplanned servicing, avoid
catastrophic failures through advance warning, and/or improve energy capture by
avoiding unnecessary shutdown and increasing overall plant availability.
LCOE is
affected in 3 principal ways through increased capital costs for sensing and
prognostics, reduced operations and maintenance (O&M) costs, and increased
energy capture (AEP), as illustrated in Figure 3.
 Figure
3. Illustration of SHPM Impacts on LCOE for
Offshore Wind Plants
The
major findings of the Sandia Structural Health and Prognostics Management
(SHPM) program are documented in the final report and are summarized below.
[1]
A Roadmap for SHPM Technology. A comprehensive technology
roadmap for SHPM was developed by bringing together structural health
monitoring and prognostics management.
This roadmap outlined the individual technical research blocks, their
maturation paths and the integration needed across the research blocks to develop a cost-effective SHPM system for
wind turbine rotors for maximizing revenue and reducing LCOE in wind
plants.
[2]
A Multi-scale Damage Modeling and Simulation Methodology.
A multi-scale damage modeling and simulation method was developed and
demonstrated (See Figure 4). This
methodology provided a new capability that is computationally efficient and
broadly applicable to all blade damage types.
This methodology aids in the design and evaluation of new sensing &
damage detection strategies and in development of new prognostic management
strategies (e.g. smart loads management, damage mitigating controls) for wind
turbine blades; and by extension is applicable to other structural components
as well.

Figure 4. The
multi-scale damage modeling and simulation methodology for development and
optimization of health monitoring systems.
[3]
Damage Detection Strategies for Common Damage Types (Global Operating
Sensitivity). Damage detection is
possible in wind turbine rotors. In
these studies, the operational response of the rotor (i.e. moments,
accelerations) was found to be sensitive to the presence of damage; indicating
that damage can be detected with common sensors such as strain sensors or
accelerometers and demonstrating which locations in the blade are most suitable
for sensor placement. This was
demonstrated for several important case studies of blade damage or rotor
faults:
a.
Trailing
edge (TE) disbonding
b.
Shear web
(SW) to spar disbonding
c.
Rotor
imbalance (mass and aerodynamic imbalance)
[4]
State of Health of Damaged Turbines Assessment (Local Sensitivity).
Loads analysis of damaged turbines was demonstrated for damaged blade
models. A design standards-based
approach was proposed for remaining life estimation in which design loads
(operating and extreme loads) are applied to damaged blade models in order to
evaluate if positive design margins are in place for the damaged blades.
[5]
Maturation of Damage Models for Wind Turbine Blade Analysis. Damage modeling methods for wind turbine
blades were matured in several ways over the course of the research program
including detailed models of damage were implemented in the Sandia/NuMAD blade
modeling code to allow linear, nonlinear, and progressive damage modeling and
progression from linear to nonlinear methods for estimating beam properties of
damaged blades for use in turbine aero-elastic simulations.
[6]
Smart Loads Management (or Derating, Damage-mitigating Controls, Prognostic
Controls) for Wind Turbine Rotors. Several smart loads management concepts were
proposed and demonstrated for rotor loads management by derating the turbine
through changes to blade pitch and RPM schedules. The impacts of smart loads management were
quantified on reducing aggregate turbine loads such as blade root bending
moment and rotor thrust. In addition,
localized effects of loads management were demonstrated in reduction of strain
energy release rates in blade bondline damage.
[7]
Optimized Maintenance Processes. Concepts were proposed and
outlined for optimizing O&M strategies through use of an SHPM monitoring
system. A key objective of the SHPM
monitoring system is to detect damage early enough so that low-cost repairs
(up-tower repairs) can be performed versus more costly ground repair or blade
replacement.
[8]
SHPM Economic Calculations. Economic impacts of SHPM on O&M
costs and increased energy capture (via smart loads management) were quantified
to demonstrate good potential for economic return on investment. A parameter study was performed to examine
the economics of derating by varying derating types, levels of derating (e.g.
50%, 75% derated), seasonal variation in wind resource (i.e. monthly
variation), and site characteristics (high versus low resource sites).
[9]
Damage Detection Strategies Tested under Realistic and Variable Inflow
Conditions. In order to test the damage detection strategies, an inflow
variability study was performed. The
robustness of the damage detection strategies was tested under realistic and
variable inflow conditions: wind speeds were varied from cut-in to cut-out with
varying levels of turbulence and varying levels of horizontal shear. (See Table
1). One key result is that the damage
detection strategies performed well under these inflow conditions. Another key result is that wind speed ranges
optimized ranges for detection of damage were identified (quantified through
POD (probability of detection) and POC (probability of classification) analyses
based on a database of more than 16,000 turbine aero-elastic simulations).

Table 1. Variables
of the Inflow Variability Study (wind inflow characteristics and extent of
damage)
More information on the Structural Health Monitoring project
can be found here.
D.
Todd Griffith, (505) 845-2056.
CREW Discussion with SPARTA
Sandian’s Ben Karlson and Chuck
Carter met with Keith Harrison and Conaill Soraghan, members of UK’s SPARTA
team to discuss potential options for collaboration between SPARTA and
CREW. SPARTA (System Performance, Availability and Reliability Trend
Analysis) is a joint project between Catapult Offshore Renewable Energy and The
Crown Estate aimed at improving operational performance of offshore wind
turbines by increasing safety, reliability and availability. The SPARTA
project has similar goals and objectives as Sandia’s CREW project, which is to
partner with wind farm owners and operators to create a platform to gather
performance and maintenance data to benchmark and identify operations and
maintenance improvements.
The discussion centered around
high level objectives of each project and areas for potential knowledge sharing,
specifically with regard to key performance indices (KPIs).
The meeting wrapped up with all
in agreement that experience and knowledge exchange between SPARTA and CREW
would benefit both projects and the wind industry as a whole. The
companies are moving forward to create an official agreement that formalizes
the exchange of processes, including performance metric calculations and
benchmarking.
Ben Karlson, (505) 377-3774.
New Wake Effects using SCADA
Data Presented at AWEA WindPower 2015
Sandia National Laboratories has
developed and applied several new analysis and visualization techniques for
Supervisory Control and Data Acquisition (SCADA) wind farm data. These
techniques include methods for cleaning and correcting SCADA data, as well as
visualizing wind power production over a wind farm. The techniques are
unique in that they focus on power production directly, and do not rely on wind
speed measurements. A case study has examined data from a 67 turbine wind
farm, recorded over 1.5 years. The analysis has revealed four different
types of wake effects. Three types are new and normally not
accounted for in wake analysis. Wake deficits are observed as
expected. The three new wake effects are associated with increased power
extraction: channel speed up, and single/multiple shear point speed up.
The effects are generally not included in wind farm wake models, and are
associated with less variability, possibly due to turbulence suppression.
This work was presented by
Carsten Westergaard at the poster session at AWEA WindPower 2015 in Orlando,
FL.
The link to the poster can be found
here.
Ben Karlson, (505) 377-3774.
Sandia Wind Turbine Blade Flaw Detection Experiment in Denmark
Wind turbine blades pose a unique set of inspection challenges that span
from very thick and attentive spar cap structures to porous bond lines, varying
core material and a multitude of manufacturing defects of interest. The
need for viable, accurate nondestructive inspection (NDI) technology becomes
more important as the cost per blade, and lost revenue from downtime grows. Under its Blade Reliability Collaborative
program, Sandia National Labs is quantitatively assessing the performance of a
wide range of NDI methods that are currently deployed, as well as new NDI
candidates for wind blade inspections.
Custom wind turbine blade test specimens, containing engineered defects,
are being used to determine critical aspects of NDI performance including
sensitivity, accuracy, repeatability, speed of inspection coverage, and ease of
equipment deployment. The Wind Turbine
Blade Flaw Detection Experiment (BFDE) is being conducted to quantify the flaw
detection performance of NDI in composite wind turbine blades. This experiment seeks to determine a
Probability of Detection (POD) curve for the wind turbine blade industry. In general, inspectors are asked to locate
and size hidden flaws in the test specimens which mimic the construction and
include damage types found in today’s wind turbine blades.
Members from the
Sandia Infrastructure Assurance and Non-Destructive Inspection Department
travelled to Denmark in early May to conduct the Wind Turbine Blade Flaw
Detection Experiment with Siemens Wind Power and Force Technology
inspectors. The experiment with Siemens
was hosted by Aalborg University, Aalborg.
Force Technology hosted the experiment at their Brondby facility, just
outside Copenhagen.
Siemens provided 4
inspectors using methods such as thermography, ultrasonic P-Scan and
conventional pulse echo ultrasonics (PE-UT).
For PE-UT, the Siemens inspectors used an ISONIC utPod from Sonotron NDT
and a 500 kHz probe and housing from Force Technology. The ISONIC utPod provides 300 volts of power,
untethered use via battery and fits on a wrist strap, making up-tower
inspections feasible. The unique probe
housing provides a 50 mm Teflon delay, which separates the signal of interest
from the ambient noise in the inspection (i.e. it allows for a very clean
signal).

Figure 5.
ISONIC utPod and Probe Assembly
Siemens also
deployed a Force Technology AMS-46 Automated Scanner with a P-Scan system for
inspecting spar cap regions. This system
uses two probes that scan the spar cap region in the X and Y axis while two
stationary probes travel along the X axis to inspect for waves. The image below shows the AMS-46 being
deployed on one of our Probability of Detection experiment panels.

Figure 6.
Siemens Inspectors deploying the AMS-46 Automated Scanner
We also had the
privilege of touring the Siemens factory and looked at some of their 75 meter
offshore blades (see image below).

Figure 7.
Standing in the Root Section of a 75 Meter Offshore Blade
Force Technology
provided 3 inspectors using the P-Scan method and conventional PE-UT. For PE-UT the Force Technology inspector used
an Olympus Epoch-XT system and a 500 kHz probe in their custom 50 mm delay
probe housing. Lower frequency probes
such as this are more effective for inspecting the thick laminates that large
blades have, particularly in the root region.

Figure 8.
Images From the SNL Visit with Force Technology
Force Technology
currently has around 1400 employees worldwide and they focus on product and
concept development, design, production optimization and operation and
maintenance of industrial facilities.
Not only do they design and build inspection equipment, but they have a
large presence in the inspection of wind turbine blades, nuclear power plants,
shipping, oil & gas and other industries.
Some of the scanners they have developed for the wind industry are shown
below.

Figure 9.
AMS-20, Mobile Wind Turbine Blade Scanner and the AMS-46 Wind Turbine Rotor
Blade Scanner
The results
obtained from the inspectors in Denmark will be combined with those acquired
from inspectors from a wide range of blade manufacturers and wind blade
inspection support companies to produce a baseline of how well the wind
industry is currently able to detect flaws or damage in their blades. This baseline from the Wind Turbine Blade
Flaw Detection Experiment will then be compared with results from advanced NDI
methods to determine the degree of improvements possible through the
application of more sophisticated inspection devices.
Ultimately, the
proper combination of several inspection methods may be required to produce the
best inspection sensitivity and reliability for both near-surface and deep,
subsurface damage. The detection of
fabrication defects helps enhance plant reliability and increase blade life
while improved inspection of operating blades can result in efficient blade
maintenance, facilitate repairs before critical damage levels are reached and
minimize turbine downtime.
Josh Paquette,
(505) 844-7766.
Tom Rice, (505)
844-7738
Stephen Neidigk,
(505) 284-2200
Dennis Roach,
(505) 844-6078.
Government-Industry Radar/Airspace Listening Session at WINDPOWER 2015
Representatives from the federal agencies
participating in the Wind Turbine Radar Interference Mitigation (WTRIM) Working
Group held a special Government-Industry Radar/Airspace Listening Session at the
AWEA WINDPOWER 2015 event last month in Orlando, Florida. The event was well
attended with over 50 persons other than the panel members. The
panel consisted of Mr. Jose Zayas (DOE), Mr. Bill Van Houten (OSD Siting
Clearinghouse), Mr. Dennis Roberts (FAA Southern Region Director) with Mr. Tom
Vinson (AWEA) acting as the Facilitator. Key wind energy developers, wind
farm siting, and radar mitigation vendors were in the room along with Sheri
Edgett-Baron’s FAA Obstruction Evaluation Team from Washington, D.C. as well as
Ed Ciardi (NOAA) and representatives from Sandia National Laboratories involved
with work on reducing wind-radar barriers for the U.S. Department of
Energy.
Key topics
initially covered by each panel member in the following order included:
DOE – The
recently published Wind Vision, the Tall Towers Initiative, wind turbine/radar
interference mitigation, opportunities for wind energy in the Southeastern
U.S., and multiple environmental considerations.
FAA – Wind
turbine/radar interference mitigation, Obstruction Evaluation of wind turbines,
antennas, buildings, obstruction lighting requirements, meteorological towers,
and other structures. FAA specifically noted that 1/3 of all Obstruction
Evaluation reviews are for wind turbines.
DOD –
Covered the history of the DOD Siting Clearinghouse, authorities, mitigation
response teams (MRT), the Integrated Field Test and Evaluation (IFT&E)
program and results, the DOD informal and formal review processes, future
“resource maps”, wind-radar mitigation capabilities (specifically infill radars
that have matured since the IFT&E tests of 2012-13), and finally a short
description of the Pilot Mitigation Projects Initiative.
For more
information, please contact the author below.
Brian Naughton, 505-844-4033.
Offshore Wind Farm Model Development – Upcoming Release of the
University of Minnesota’s Virtual Wind Simulator (VWiS)
Sandia National Laboratories is working with the University of Minnesota
(UMN) St. Anthony Falls Laboratory to document and prepare UMN’s offshore
version of the Virtual Wind Simulator (VWiS) code for release. VWiS is a
state-of-the-art large-eddy simulation (LES) code that is capable of simulating
atmospheric turbulence interacting with wind farms in complex terrain in both
land1 and offshore environments2. VWiS uses the
Curvilinear Immersed Boundary Method (CURVIB) to simulate flow around
geometrically complex moving bodies. For wind farm applications, it can either
resolve turbine geometrical details or use several turbine rotor
parameterizations. It has a two-phase flow module based on the level set method
that allows simulation of coupled free surface flows with water waves, winds
and 6 degree-of-freedom (DOF) flow-structure interaction (FSI) of floating
structures. The code can also
incorporate the effects of broadband ocean waves via a multi-scale coupling
approach.
The
code is planned to be released in September 2015, and will include a detailed
manual with several test cases. Sandia has been working with UMN to ensure the
test cases are user-friendly and well documented, in addition to reviewing the
manual. As an example, one test case is the free heave decay test of a
horizontal cylinder, which validates the coupled fluid structure interaction
(FSI) algorithm. A figure of the water entry of the cylinder moving with
prescribed velocity is shown in Figure 1 (left). An example of a wedge impinging on the free surface2
is shown in Figure 10 (right). A 6DOF
FSI simulation of a floating turbine under real-life ocean waves is shown in
Figure 11 (left), with the structural response of the turbine in heave and
pitch in Figure 11 (right). More
information can be found in Calderer et al. 2014 [2,3].

Figure 10.
(Left) Water entry of a horizontal cylinder moving with prescribed velocity.
(Right) A falling wedge showing the free surface elevation.

Figure 11.
(Left) 6 DOF FSI simulation of a floating turbine. (Right) The structural
response of the floating turbine in heave and pitch.
[1] Yang,
X., Sotiropoulos, F., Conzemius, R.J., Wachtler, J.N., Strong, M.B. (2014), “Large-eddy
simulation of turbulent flow past wind turbines/farms: the Virtual Wind
Simulator (VWiS),” Wind Energy DOI:
10.1002/we.1802.
[2] Calderer,
A., Kang, S., and Sotiropoulos, F. (2014), “Level
set Immersed Boundary Method for Coupled Simulation of Air/Water Interaction
with Complex Floating Structures,” Vol. 266,
pp. 201-227, Journal of Computational Physics, 2014.
[3] Calderer,
A., Guo, X., Shen, L., Sotiropoulos, F. (2014), “Coupled
fluid-structure interaction simulation of floating offshore wind turbines and
waves: A large eddy simulation approach,” Journal
of Physics: Conference Series, 524 (1), art. no. 012091.
Ann Dallman,
(505) 844-8675,
Tommy Herges,
(505) 284-9760,
Todd Griffith,
(505) 845-2056,
Toni Calderer,
University of Minnesota.
Lian Shen,
University of Minnesota.
Fotis Sotiropoulos,
University of Minnesota.
Water Power: Wave Energy
DTOcean Bi-Annual General Meeting, Antwerp, Belgium (4/14–16/2015)
Daniel Laird, Stan Atcitty, and Jesse Roberts
of Sandia National Laboratories (SNL) attended the bi-annual general meeting of
the Optimal Design Tools for Ocean Energy Arrays (DTOcean) project in Antwerp,
Belgium, April 14-16, 2015. The EU-funded DTOcean project is developing a suite
of whole-system design tools to support timely development and deployment of
tidal and wave energy convertor arrays for the Marine Renewable Energy (MRE)
industry. Economics (e.g., levelized cost of energy or LCOE), reliability, and
environmental protection represent major goals of the project and constraints
for the design tools. This meeting took place at the halfway point of this
three year project and focused on the status and next steps for the development
of the alpha version of the DTOcean software. The DTOcean software is comprised
of several modules that consider hydrodynamics, electrical systems, moorings
and foundations, lifecycle logistics, and systems controls, operations and
maintenance. Over the course of the the 3-day meeting, breakout sessions were
held to discuss the technical details associated with each module as well as
the global database and optimization wrapper that ties each module together
with the database to find the optimal array layout to meet specific objective
criteria. On the final morning of the meeting the alpha version of the DTOcean
software was debuted to the strategic advisory board. That afternoon, many of
the team members went on a technical site visit of the C-Power
offshore wind site located on
the Thornton Bank about 25nm from the Belgian coast line. SNL is the one non-EU member out of the 19
other European member organizations.
Jesse Roberts, (505) 844-5730.
Stanley Atcitty, (505) 284-2701.
Daniel Laird (505)
845-1375.

Figure 12.
DTOcean team members outside the DEME offices in Antwerp, Belgium.

Figure 13.
View of the C-Power Wind Farm from the tour boat
Water Power: Current Energy
Delft3D Turbine Model
Improvement
Background
Delft3D
is a state-of-the-art, open-source hydrodynamics software suite capable of
modeling hydrodynamics, sediment transport, and water quality in rivers, lakes,
estuaries, and costal environments. Delft3D was developed by the Dutch company,
Deltares. Because it is actively developed and maintained and because it is
held in high regard by researchers and practitioners alike, Sandia National
Laboratories (SNL) is considering Delft3D as a replacement for the aging
open-source-version of the Environmental Fluid Dynamics Code (EFDC), which was
modified to include a current energy converter (CEC) module and renamed
SNL-EFDC. The CEC module provides
the ability to simulate energy generation (momentum withdrawal) by CEC devices
while including the commensurate changes in the turbulent kinetic energy and
its dissipation rate and has been demonstrated to accurately predict flow
through and around laboratory-scale CEC devices and arrays of actuator disks.
To advance CEC-simulation capabilities in an actively maintained modeling
framework, the
equivalent CEC module will be developed for Delft3D.
Model
Integration
Sandia
has incorporated a momentum sink turbine model into Delft3D based off of the
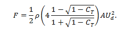
work by Thomas Roc[1]. The
resulting equation representing the force imposed on the fluid due to the
turbine (acting as a momentum sink) is shown below:

A
Delft3D model, run with the Sandia-developed implementation of CEC devices, was
designed to represent the Roza Canal. Figure 14 shows a
satellite image of the Roza Canal (left), a close-up view of the Delft3D
bathymetry representation (center), and the simulated velocities throughout the
entire model domain (right).

Figure 14. Overhead image of the Roza Canal
and a colormap of the canal depth (left). Delft3D numerical domain of the Roza
Canal (right) where the colormap is for water velocity (m/s)
15 presents Delft3D-simulated velocities near
the CEC turbine. The image on the left is a plan view of the region around the
turbine, while that on the right is a cross sectional profile just behind the
turbine. The model is behaving as expected where a velocity deficit forms in
the region downstream from the turbine (the wake) and velocities increase due
to some portion of the flow being diverted around the turbine (due to device
physically blocking portions of the flow).

Figure 15. Overhead (left) and cross-sectional
(right) contour plots of flow velocity around the Delft3D turbine model.
Figure
16 further
illustrates the turbine wake characteristics, by showing the centerline turbine
wake velocity versus downstream distance. The simulated stream-wise flow
velocity is shown (green line) against the measured data from the canal (blue
dots) and appears to agree quite well.

Figure 16. Turbine centerline flow velocity
(left) and canal midplane water height (right) as predicted by the Delft3D
simulation.
[1] Roc, T., D.C. Conley, and D. Greaves,
“Methodology for tidal turbine representation in ocean circulation model”.
Renewable Energy, 2013. 51: p. 448-464.
[2] Rethore, Pierre-Elouan Mikael, et al.
"Study
of the atmospheric wake turbulence of a CFD actuator disc model."
2009 European Wind Energy Conference and Exhibition. 2009.
[3] Gunawan, B., J. Roberts, and V. Neary. "Hydrodynamic effects of
hydrokinetic turbine deployment in an irrigation canal". Proceedings of the 3rd Marine Energy
Technology Symposium (METS2015) 2015: Washington, DC.
[4] Myers, L. E., and A. S. Bahaj. "Experimental
analysis of the flow field around horizontal axis tidal turbines by use of
scale mesh disk rotor simulators."
Ocean Engineering 37.2 (2010): 218-227.
Chris Chartrand, (505) 845-8750.
Budi Gunawan,
(505) 845-8869.
Jesse Roberts,
(505) 844-5730.
|