|
PEI has extended the deadline for the Community Youth Development Program (CYD) services until October 31, 2023 — 10:30 am CDT in order to answer questions that were not answered in the previous addendum. Please review all information posted at https://resources.hhs.texas.gov/rfa/hhs0013413
The Prevention and Early Intervention (PEI) Division of DFPS, also now Family Support Services in Chapter 137 of the Human Resources Code, in partnership with the Health and Human Services Commission seeks applications from qualified entities within the State of Texas to provide Community Youth Development Program (CYD) services.
About The Community Youth Development Program
The CYD program offers community-based programs that promote Positive Youth Development and positive outcomes for Youth. CYD programming includes fostering safe spaces, positive relationships, and structured opportunities to build skills as well as an array of Positive Youth Development program opportunities such as Mentoring, Youth Leadership Development, and Post-High School Readiness to strengthen a youth's connection, engagement, and contribution to the community.
CYD provides programming to youth 6-17 years of age in zip codes with high incidences of juvenile crime. Communities prioritize and fund specific prevention services to address their community level needs. These programs are free of charge to the public and participation is voluntary.
This Request for Applications (RFA) will award grants to provide programming in specific zip codes to promote positive youth development and build healthy families and resilient communities.
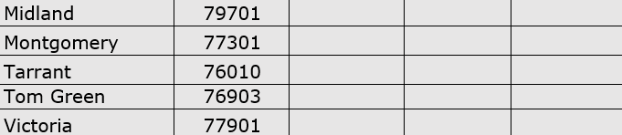
Eligible ZIP Codes for this RFA are listed in table below:
  How to Apply
The RFA can be found at https://resources.hhs.texas.gov/rfa/hhs0013413 and closes October 31st, 2023 at 10:30 A.M. Central Time (CST).
Sole Point of Contact
Julia Solis Grants Specialist, HHSC Procurement and Contracting Services Address: HHSC Procurement and Contracting Services (PCS) 1100 West 49th Street; Mail Code 2020 Building S, Austin, TX 78756 Email: Julia.Solis@hhs.texas.gov
|