Lower Shore: Duluth to Two Harbors
After a cold front moved through last weekend and cooled surface water temps into the upper 50’s they rose back into the mid 60’s later in the week with the thermocline remaining around 100 feet. While variable conditions slowed down the bite at times, dedicated anglers were able to catch Lake Trout in decent numbers and the occasional nice Coho and Chinook Salmon. The morning bite was most productive and trolling silver, green, white, or blue dipsy divers and flasher flies 70-120 feet down. Jigging smelt and white soft plastic baits at depths of 160-170 feet was also effective for some anglers. Bad weather earlier in the week reduced angler pressure.
Upper Shore: Twin Points to Hovland
Surface water temps were 55-58 °F and the thermocline was up to 80 feet down at times. Lake Trout were caught in decent numbers suspended over deep water, but some anglers also caught fish near the bottom in 80-150 feet of water. Most Lakers were 20-30 inches long and the size increased in recent days with fewer small fish reported. Green, purple, and glow spoons and flasher fly combos were the most productive. Salmon of any species were few and far between from all stations. Shore angling was slow this week with Lake Trout typically holding beyond reach of shore angler’s casts. Poor weather conditions kept angler pressure low from all stations.
Management Updates
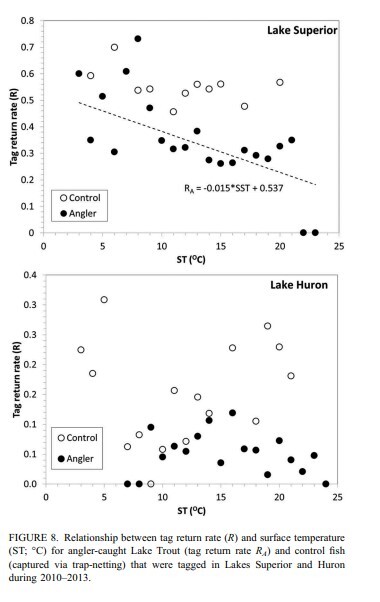
As Lake Superior surface temperatures remain high during the summer, anglers should consider that hooking mortality for Lake Trout is estimated to be as high as 43% when water surface temperature exceeds 50 °F. Please exercise caution and do not sort through (catch-and-release) numerous fish to get to your limit and be cognizant that if you are catch-and-release only fishing that you may actually be killing more Lake Trout than the harvest angler that catches their three fish limit and goes home. Shawn Sitar, a Michigan DNR Fisheries Researcher out of Marquette, conducted a post-release mortality study on Lake Superior Lake Trout that began in 2010, read more about his work below.
Lake trout: to release or not release. Shawn Sitar, Fisheries Research Biologist, Marquette Fisheries Research Station, Michigan Department of Natural Resources.
Shawn P. Sitar , Travis O. Brenden, Ji X. He & James E. Johnson (2017) Recreational Postrelease Mortality of Lake Trout in Lakes Superior and Huron, North American Journal of Fisheries Management, 37:4, 789-808.
|
Helpful Links
 Questions?
Email us at Lake Superior fishing report Give us a call at 218-302-3277 Report suspicious activity at 800-652-9093
Visit us online at mndnr.gov
If this message was shared with you, sign up to receive it at the link above or text MNDNR SUPERIORFISHING to 66468 to subscribe for text updates. Message and data rates may apply. Message frequency varies. Reply HELP for help or contact support@Granicus.com. Reply STOP to cancel. To view terms and conditions and privacy policy visit: https://public.govdelivery.com/accounts/MNDNR/text-message
|