|
Lower Shore: Duluth to Two Harbors
Surface water temps were 64-69 °F near Duluth and the thermocline was around 130 feet down. Anglers caught good numbers of Lake Trout 120-150 feet down. Smelt rigs were particularly effective this week with many of the fish caught being full of Smelt. Green and white flasher flies were also effective, but as always good colors changed day to day so your best bet was trying a few presentations and finding what worked on that day. Further north, fishing was slower and surface water temps were a bit cooler. Successful anglers caught Lakers below 100 feet on green spoons and flasher fly rigs. The thermocline was not as well established as anglers moved north. Salmon fishing was much slower this week, but some nice Cohos and Chinooks were reported from all stations just not in the numbers seen in recent weeks.
Upper Shore: Twin Points to Hovland
Strong east winds caused storm like conditions along the Upper Shore and surface water temps were in the upper 50’s to mid 60’s. Although Lake Trout were still widely scattered in both depth and area, decent numbers of 20-35 inch fish were reported. Similar to the Lower Shore, many harvested fish had stomachs full of Smelt and Herring. Trolling several lines from close to the surface to 150+ feet down was the most effective as Lakers were closer to the surface offshore and much deeper and along breaks in the bottom contours closer to shore. Brightly colored glow spoons and flasher fly rigs were the most effective presentations. Very few Salmon of any species were reported this week. Angler pressure was light from all stations.
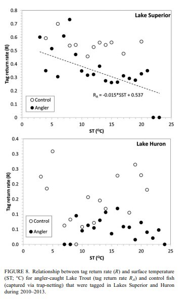
Lake Trout Hooking Mortality
As Lake Superior surface temperatures remain high during the summer, anglers should consider that hooking mortality for Lake Trout is estimated to be as high as 43% when water surface temperature exceeds 50 °F. Please exercise caution and do not sort through (catch-and-release) numerous fish to get to your limit and be cognizant that if you are catch-and-release only fishing that you may actually be killing more Lake Trout than the harvest angler that catches their three fish limit and goes home. Shawn Sitar, a Michigan DNR Fisheries Researcher out of Marquette, conducted a post-release mortality study on Lake Superior Lake Trout that began in 2010, read more about his work below.
Lake trout: to release or not release. Shawn Sitar, Fisheries Research Biologist, Marquette Fisheries Research Station, Michigan Department of Natural Resources.
Shawn P. Sitar , Travis O. Brenden, Ji X. He & James E. Johnson (2017) Recreational Postrelease Mortality of Lake Trout in Lakes Superior and Huron, North American Journal of Fisheries Management, 37:4, 789-808.
|
Helpful Links
 Questions?
Email us at Lake Superior fishing report Give us a call at 218-302-3277 Report suspicious activity at 800-652-9093
Visit us online at mndnr.gov
If this message was shared with you, sign up to receive it at the link above or text MNDNR SUPERIORFISHING to 66468 to subscribe for text updates. Message and data rates may apply. Message frequency varies. Reply HELP for help or contact support@Granicus.com. Reply STOP to cancel. To view terms and conditions and privacy policy visit: https://public.govdelivery.com/accounts/MNDNR/text-message
|
|
|
|