Lower Shore: Duluth to Two Harbors
Surface water temps started near 70 °F this week, but fell to the 50’s near Two Harbors by Tuesday. Lake Trout fishing was particularly good with many anglers reporting good numbers of 18-24 inch fish and the occasional larger one. Anglers found success trolling anywhere from 30-115 feet down with bloody nose, wonder bread, and watermelon spoons being productive patterns. Several anglers also did well jigging near structure with white jigs. Coho Salmon fishing was a little slower than the last few weeks, but anglers still caught quite a few. There were also quite a few Cisco reported over the week.
Upper Shore: Twin Points to Hovland
Surface water temps were primarily in the high 60’s and that warm water extended 50+ feet below the surface. Widely scattered Lake Trout made them difficult to pattern and anglers struggled to catch them in numbers. Anglers reported green, purple, or glow spoons and flasher combos worked best. The majority of Lake Trout were 18-24 inches with the occasional fish over 30 inches. Salmon were very scarce with only the occasional Coho and a few small Chinooks in the 14-18 inch range. A few Pink Salmon were also reported, but not in large numbers and the occasional 20-27 inch Steelhead was reported as well. Angler pressure was light from all stations with slightly more pressure from Grand Marais.
Lake Trout Hooking Mortality
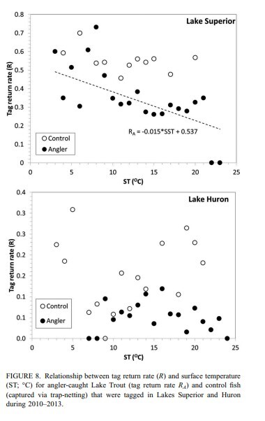
As Lake Superior surface temperatures remain high during the summer, anglers should consider that hooking mortality for Lake Trout is estimated to be as high as 43% when water surface temperature exceeds 50 °F. Please exercise caution and do not sort through (catch-and-release) numerous fish to get to your limit and be cognizant that if you are catch-and-release only fishing that you may actually be killing more Lake Trout than the harvest angler that catches their three fish limit and goes home. Shawn Sitar, a Michigan DNR Fisheries Researcher out of Marquette, conducted a post-release mortality study on Lake Superior Lake Trout that began in 2010, read more about his work below.
Lake trout: to release or not release. Shawn Sitar, Fisheries Research Biologist, Marquette Fisheries Research Station, Michigan Department of Natural Resources.
Shawn P. Sitar , Travis O. Brenden, Ji X. He & James E. Johnson (2017) Recreational Postrelease Mortality of Lake Trout in Lakes Superior and Huron, North American Journal of Fisheries Management, 37:4, 789-808.
|
Helpful Links
 Questions?
Email us at Lake Superior fishing report Give us a call at 218-302-3277 Report suspicious activity at 800-652-9093
Visit us online at mndnr.gov
If this message was shared with you, sign up to receive it at the link above or text MNDNR SUPERIORFISHING to 66468 to subscribe for text updates. Message and data rates may apply. Message frequency varies. Reply HELP for help or contact support@Granicus.com. Reply STOP to cancel. To view terms and conditions and privacy policy visit: https://public.govdelivery.com/accounts/MNDNR/text-message
|