Lower Shore: Duluth to Two Harbors
Surface water temps were 67-72 °F along the Lower Shore this week. Anglers found success running lures anywhere from 20-80 feet down. Spoons and flasher flies were the most productive presentations and no specific colors were consistently hot. Anything bright could work on any given day, but green, pink, and orange are all safe bets. With fish spread out in the water column using a variety of colors, presentations, and depths is the best course of action until you find something that is producing. Lake Trout were 18-24 inches on average and the Cohos were very active this week with most being 18-23 inches. The Cohos were typically in the top 50 feet of the water column. Chinook Salmon and Brown Trout were also reported, but in low numbers.
Upper Shore: Twin Points to Hovland
Surface water temps fell from the upper 60’s to the mid 40’s this week due to strong winds, but have since warmed back into the 60’s. Angler success for Lake Trout was inconsistent from day to day with fish widely scattered spatially and throughout the water column. However, Grand Marais anglers reported fair fishing for smaller 16-20 inch Lakers in near shore waters and larger 20-25 inch fish were found fairly close to the surface and far from shore. Reports from Middle Shore anglers indicated Coho Salmon fishing improved for a few days early in the week, especially from Twin Points, but it was short lived. A few nice sized Steelhead were reported from Grand Marais this week. Angler pressure has been very light from all stations with the exception of Grand Marais.
Lake Trout Hooking Mortality
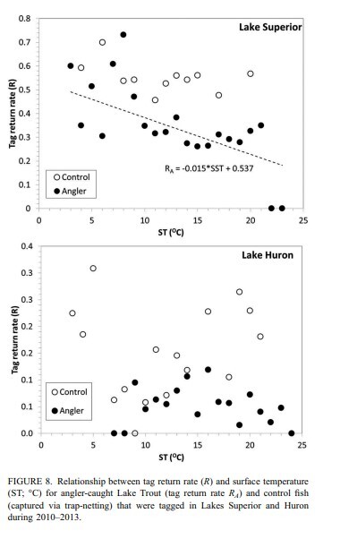
As Lake Superior surface temperatures remain high during the summer, anglers should consider that hooking mortality for Lake Trout is estimated to be as high as 43% when water surface temperature exceeds 50 °F. Please exercise caution and do not sort through (catch-and-release) numerous fish to get to your limit and be cognizant that if you are catch-and-release only fishing that you may actually be killing more Lake Trout than the harvest angler that catches their three fish limit and goes home. Shawn Sitar, a Michigan DNR Fisheries Researcher out of Marquette, conducted a post-release mortality study on Lake Superior Lake Trout that began in 2010, read more about his work below.
Lake trout: to release or not release. Shawn Sitar, Fisheries Research Biologist, Marquette Fisheries Research Station, Michigan Department of Natural Resources.
Shawn P. Sitar , Travis O. Brenden, Ji X. He & James E. Johnson (2017) Recreational Postrelease Mortality of Lake Trout in Lakes Superior and Huron, North American Journal of Fisheries Management, 37:4, 789-808.
|
Helpful Links
 Questions?
Email us at Lake Superior fishing report Give us a call at 218-302-3277 Report suspicious activity at 800-652-9093
Visit us online at mndnr.gov
If this message was shared with you, sign up to receive it at the link above or text MNDNR SUPERIORFISHING to 66468 to subscribe for text updates. Message and data rates may apply. Message frequency varies. Reply HELP for help or contact support@Granicus.com. Reply STOP to cancel. To view terms and conditions and privacy policy visit: https://public.govdelivery.com/accounts/MNDNR/text-message
|