|
Lower Shore: Duluth to Two Harbors
The weather was warm this week with air temps in the mid to low 80's and surface water temps peaked around 76 °F. Anglers found success for Lake Trout trolling spoons and flasher fly rigs 60-120 feet down. Green seemed to be one of the most effective colors. Most of the Lakers were 3-4 pounds with a few larger fish also reported. Fewer Coho Salmon were caught this week and anglers that found success fished anywhere from 20-30 feet down. The St. Louis River Estuary fishing was slow again this week with very few anglers out.
Upper Shore: Twin Points to Hovland
Surface water temps were from the mid 50’s to mid 60’s this week. Anglers reported that warm water extends down 30-60 feet below the surface. Silver Bay anglers indicated Lake Trout fishing has improved for 3-8 pound fish with a few larger ones too. While still scattered through the water column, most were caught in the top 100 feet of the water column. Flatlines, planer boards, divers, and downriggers with green or chartreuse spoons or flasher fly rigs. Fishing has been slower from Grand Marais and Tac Harbor, but there have been some reports of good numbers of smaller Lakers in shallow near shore waters offering some decent shore angling opportunities. Very few Salmon were reported from any station this week.
Consider Keeping Your Catch!
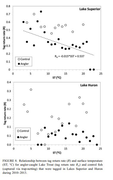
As Lake Superior surface temperatures remain high during the summer, anglers should consider that hooking mortality for Lake Trout is estimated to be as high as 43% when water surface temperature exceeds 50 °F. Please exercise caution and do not sort through (catch-and-release) numerous fish to get to your limit and be cognizant that if you are catch-and-release only fishing that you may actually be killing more Lake Trout than the harvest angler that catches their three fish limit and goes home. Shawn Sitar, a Michigan DNR Fisheries Researcher out of Marquette, conducted a post-release mortality study on Lake Superior Lake Trout that began in 2010, read more about his work below.
Lake trout: to release or not release. Shawn Sitar, Fisheries Research Biologist, Marquette Fisheries Research Station, Michigan Department of Natural Resources.
Shawn P. Sitar , Travis O. Brenden, Ji X. He & James E. Johnson (2017) Recreational Postrelease Mortality of Lake Trout in Lakes Superior and Huron, North American Journal of Fisheries Management, 37:4, 789-808.
|
Helpful Links
 Questions?
Email us at Lake Superior fishing report Give us a call at 218-302-3277 Report suspicious activity at 800-652-9093
Visit us online at mndnr.gov
If this message was shared with you, sign up to receive it at the link above or text MNDNR SUPERIORFISHING to 66468 to subscribe for text updates. Message and data rates may apply. Message frequency varies. Reply HELP for help or contact support@Granicus.com. Reply STOP to cancel. To view terms and conditions and privacy policy visit: https://public.govdelivery.com/accounts/MNDNR/text-message
|
|
|
|