Lower Shore: Duluth to Two Harbors
Surface water temps ranged from the low 50’s to high 60’s this week. Nasty storms, heavy rains, and changing air temps all contributed to the wide range of surface temps observed. Overall, fishing was good for Lake Trout with many anglers finding success trolling spoons or flasher fly rigs 50-90 feet down. Green, purple, and orange were the 3 colors most reported by successful anglers. The majority of Lake Trout caught were 18-24 inches. Coho Salmon were a fairly common catch again this week with most being 16-20 inches. Chinook were much less commonly reported but were still caught from all stations. The heavy rains caused many of the rivers to blow out large plumes of sediment and debris. Use caution when boating in these areas as large logs and debris can easily hide just below the surface.
Upper Shore: Twin Points to Hovland
Surface water temps ranged from the low 50’s to the low 60’s depending on the day and station. The warm water extended down as far as 50 feet below the surface. Anglers reported slow fishing for Lake Trout as they were scattered throughout the water column, in shallow water, or very near to the surface even when far from shore. These conditions made it difficult for anglers to pattern and target them in an effective manner. Very few Salmon were reported from any station this week. The Silver Bay Salmon Classic was held over the weekend and although the board did fill the top spots with both Coho and Chinook Salmon, numbers were light overall. Shore anglers reported fair fishing for Brook Trout from Grand Marais and were also catching a few small Lake Trout.
Hooking Mortality on Lake Superior
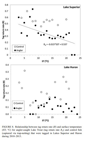
As Lake Superior surface temperatures remain high during the summer, anglers should consider that hooking mortality for Lake Trout is estimated to be as high as 43% when water surface temperature exceeds 50 °F. Please exercise caution and do not sort through (catch-and-release) numerous fish to get to your limit and be cognizant that if you are catch-and-release only fishing that you may actually be killing more Lake Trout than the harvest angler that catches their three fish limit and goes home. Shawn Sitar, a Michigan DNR Fisheries Researcher out of Marquette, conducted a post-release mortality study on Lake Superior Lake Trout that began in 2010, read more about his work below.
Lake trout: to release or not release. Shawn Sitar, Fisheries Research Biologist, Marquette Fisheries Research Station, Michigan Department of Natural Resources.
Shawn P. Sitar , Travis O. Brenden, Ji X. He & James E. Johnson (2017) Recreational Postrelease Mortality of Lake Trout in Lakes Superior and Huron, North American Journal of Fisheries Management, 37:4, 789-808.
|
Helpful Links
 Questions?
Email us at Lake Superior fishing report Give us a call at 218-302-3277 Report suspicious activity at 800-652-9093
Visit us online at mndnr.gov
If this message was shared with you, sign up to receive it at the link above or text MNDNR SUPERIORFISHING to 66468 to subscribe for text updates. Message and data rates may apply. Message frequency varies. Reply HELP for help or contact support@Granicus.com. Reply STOP to cancel. To view terms and conditions and privacy policy visit: https://public.govdelivery.com/accounts/MNDNR/text-message
|