 Photo: Louisville Water scientist collects a sample from the Ohio River on Saturday
Louisville Water continues to reassure the community that our drinking water is safe to drink. The train derailment in East Palestine, Ohio does not pose a concern for the quality of our drinking water.
This weekend Louisville Water scientists analyzed more Ohio River samples and continued to find no detections of butyl acrylate, the chemical that spilled from the train derailment in East Palestine. And scientists working upriver from Louisville see similar data.
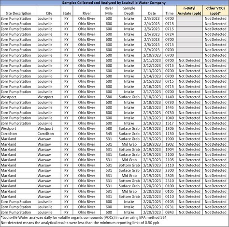
The table below shows Louisville Water’s sampling data for butyl acrylate from Saturday February 11 through Saturday February 18. Each day, there was no detection.
Louisville’s data matches what other scientists see.
Louisville Water is part of a network of utilities that continuously monitors the water quality in the Ohio River. That monitoring system includes ORSANCO, the Ohio River Valley Water and Sanitation Commission. ORSANCO, based in Cincinnati posts its most current sampling data from the East Palestine train derailment on its website. The most recent published data from ORSANCO on February 17 shows scientists working with ORSANCO found only one quantifiable detection at a sampling site upriver from Cincinnati.
The Ohio River is a big river system and that’s an advantage. There are five major tributaries between Louisville and West Virginia that flow into the Ohio River. Every day more than 75 billion gallons of river water flow by Louisville and that amount of water is increasing due to last week’s rain. The dilution power of the river is much greater here in Louisville than it is upriver. That’s an advantage when looking at the river water after a spill.
We’ll continue to monitor along with the 200 water quality tests we do daily.
Bottom line: Your drinking water is safe to drink
More about the data in the chart
Each day Louisville samples the Ohio River for 30 volatile organic carbon compounds (VOCs) as part of water quality research. Butyl acrylate is a volatile organic carbon compound. Scientists measure any detections in parts per billion. The table includes daily results for VOC sampling and butyl acrylate and there are no detections.
|