|
Be On The Look out!
The ALCO Veteran Service Office plan on presenting a College Fee Waiver webinar mid-May to provide you with needed guidance for completion of the fee waiver process.
IRS Guidance for COVID Payments
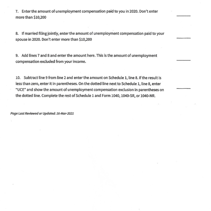
The below information is received from CalVet and concerns the additional unemployment benefits you may have received due to the COVID-19 protocols. The money received may have pushed many over the poverty threshold for the Plan B award, making you ineligible for the College Fee Waiver benefit. The IRS has agreed to exclude $10,200 on your 2020 taxable income based on the unemployment payments received. Below you will also find guidance along with a worksheet to assist you in calculating the Unemployment Compensation Exclusion.
|
|
 |
|
Alameda CVSO
6955 Foothill Blvd suite #143
Oakland, CA 94605
(510) 577-1926
Email: veterans@acgov.org
|
|
|
|
|