COVID-19 Alaska Clinical Update Tuesday, November 30, 2021
7-Day COVID-19 Case Rate – Statewide

Emergence of Omicron variant
On November 24, the South Africa Ministry of Health reported the emergence of the B.1.1.529 variant to the WHO. Named “Omicron”, this variant was classified as a Variant of Concern by the WHO. The first known confirmed B.1.1.529 infection was from a specimen collected on 9 November 2021 and is associated with a steep increase in the number of infections in almost all provinces in South Africa. This variant has a large number of mutations, some of which are concerning. Preliminary evidence suggests an increased risk of reinfection with this variant, as compared to other variants of concern. It is unknown whether this variant is more transmissible, causes more severe COVID-19 infection, is responsive to existing monoclonal antibody therapies, or protected against by available vaccines.
CDC strengthens its booster recommendation to say that all adults “should” get a booster dose
On November 29, the CDC strengthened its recommendations for all adults to receive booster doses of a SARS-CoV-2 vaccine. Previously, the CDC had authorized booster doses for all adults but said young adults “may” get a booster if they wanted. In their revised language, the CDC recommends that all adults, regardless of age, “should” get a booster dose. Specifically, all adults should get their booster once they are 6 months post-Moderna or Pfizer-BioNTech vaccination, or 2 months post-Johnson & Johnson vaccination.
Aspirin was not associated with reduction in 28-day mortality, risk of progressing to mechanical ventilation, or death in patients hospitalized with COVID-19
This randomized, controlled, open-label trial in the UK, Indonesia, and Nepal evaluated the impact of adding aspirin 150mg daily to usual care versus usual care alone for patients hospitalized with COVID-19. Between Nov 1, 2020, and March 21, 2021, 7351 patients were randomly allocated (1:1) to receive aspirin and 7541 patients to receive usual care alone. Overall, 1222 (17%) of 7351 patients allocated to aspirin and 1299 (17%) of 7541 patients allocated to usual care died within 28 days (rate ratio 0·96, 95% CI 0·89–1·04; p=0·35). Consistent results were seen in all prespecified subgroups of patients. Patients allocated to aspirin had a slightly shorter duration of hospitalization (median 8 days vs 9 days) and a higher proportion were discharged from hospital alive within 28 days (75% vs 74%; rate ratio 1·06, 95% CI 1·02–1·10). Among patients not on invasive mechanical ventilation at baseline, there was no significant difference in the proportion meeting the composite endpoint of invasive mechanical ventilation or death (21% vs 22%; risk ratio 0·96, 95% CI 0·90–1·03). Aspirin use was associated with a reduction in thrombotic events (4·6% vs 5·3%; absolute reduction 0·6%) and an increase in major bleeding events (1·6% vs 1·0%; absolute increase 0·6%). For every 1000 patients treated with aspirin, approximately six more patients would have a major bleeding event and approximately six fewer patients would have a thromboembolic event.
Convalescent plasma did not reduce progression to respiratory failure or death within 30 days
In this prospective open-label trial, participants hospitalized with COVID-19 pneumonia were randomized to either convalescent plasma plus standard therapy or standard therapy alone. The trial took place from July 15-December 8, 2020, at 27 clinical sites in Italy, and hospitalized adults with COVID-19 pneumonia and a partial pressure of oxygen–to–fraction of inspired oxygen (Pao2/Fio2) ratio between 350 and 200 mm Hg were eligible. The primary outcome was a composite of worsening respiratory failure (Pao2/Fio2 ratio <150 mm Hg) or death within 30 days from randomization. Patients in the experimental group received high-titer convalescent plasma, while standard therapy included remdesivir, glucocorticoids, and low-molecular weight heparin. Of the 487 randomized patients (241 plasma; 246 standard therapy), 312 (64.1%) were men; the median (IQR) age was 64 (54.0-74.0) years. The modified intention-to-treat population included 473 patients. The primary end point occurred in 59 of 231 patients (25.5%) treated with plasma and standard therapy and in 67 of 239 patients (28.0%) who received standard therapy (odds ratio, 0.88; 95% CI, 0.59-1.33). Adverse events occurred more frequently in the convalescent plasma group (12 of 241 [5.0%]) compared with the control group (4 of 246 [1.6%]; P = .04). These results were consistent across subgroups of age, sex, race, comorbidities, and use of concomitant therapy.
FDA advisory committee recommends EUA for Merck’s novel oral antiviral molnupiravir
The FDA’s Antimicrobial Advisory Committee voted 13 to 10 to give Emergency Use Authorization (EUA) to Merck’s novel oral antiviral molnupiravir for mild to moderate coronavirus disease 2019 (COVID-19) in adults with positive results of direct SARS-CoV-2 viral testing, and who are at high risk for progression to severe COVID-19, including hospitalization or death. Last week the company released updated results from its ongoing study of the drug showing that it reduced the risk of hospitalization by 30%, which was a revision from the previously claimed 50% reduction in hospitalization. Next, the FDA will decide whether or not to take the committee’s recommendation and issue an EUA, which would contain the specifics of patient criteria (inclusion/exclusion/labs/etc).
Pfizer-BioNTech claim 100% vaccine efficacy for adolescents age 12 to 15 years through four months
In a company press release, Pfizer-BioNTech announced updated results for its Phase 3 trial assessing the safety and efficacy of its COVID mRNA vaccine in adolescents age 12 to 15 years. In this analysis of 2,228 trial participants from November 2020 – September 2021, there were 30 cases of confirmed symptomatic COVID-19 cases without evidence of prior infection with SARS-CoV-2 in the placebo group and 0 cases in the vaccine group. This corresponded to vaccine efficacy of 100% (95% confidence interval [CI, 87.5, 100.0]) measured seven days through over four months after the second dose. The company said that it plans to submit this data to the FDA to expand approval of the vaccine for individuals age 12 and older; the vaccine is currently available for individuals 12 through 15 years of age under Emergency Use Authorization (EUA), granted by the FDA in May 2021.
*These results have not gone through peer review and were announced in a press release by the sponsoring pharmaceutical companies. The results might contain errors and report information that has not yet been accepted or endorsed in any way by the scientific or medical community.
Morbidity and Mortality Weekly Reports (MMWR)
COVID-19 infection at time of birth associated with significantly higher risk of stillbirth
In this MMWR, researchers used the Premier Healthcare Database Special COVID-19 Release (PHD-SR) database to examine the relationship between Covid-19 infection and stillbirth, especially as the Delta variant became more prevalent. Among 1,249,634 deliveries during March 2020–September 2021, stillbirths were rare (8,154; 0.65%): 273 (1.26%) occurred among 21,653 deliveries to women with COVID-19 documented at the delivery hospitalization, and 7,881 (0.64%) occurred among 1,227,981 deliveries without COVID-19. The adjusted risk for stillbirth was higher in deliveries with COVID-19 compared with deliveries without COVID-19 during March 2020–September 2021 (adjusted relative risk [aRR] = 1.90; 95% CI = 1.69–2.15), including during the pre-Delta (aRR = 1.47) and Delta periods (aRR = 4.04). COVID-19 documented at delivery was associated with increased risk for stillbirth, with a stronger association during the period of Delta variant predominance. Among deliveries with COVID-19, chronic hypertension, multiple-gestation pregnancy, adverse cardiac event/outcome, placental abruption, sepsis, shock, acute respiratory distress syndrome, mechanical ventilation, and ICU admission were associated with a higher prevalence of stillbirth.
Delta variant associated with increased ratio of COVID-19-associated deaths among pregnant women in Mississippi
This report describes 15 COVID-19–associated deaths in Mississippi after infection with SARS-CoV-2 during pregnancy during March 2020-October 2021. During March 1, 2020–October 6, 2021, a total of 1,637 SARS-CoV-2 infections during pregnancy were reported, and 15 COVID-19–associated deaths occurred (nine deaths per 1,000 SARS-CoV-2 infections). During the same period in Mississippi, there were 413 COVID-19–associated deaths reported among females of reproductive age (2.5 deaths per 1,000 SARS-CoV-2 infections). During the pre-Delta period, six COVID-19–associated pregnancy deaths occurred (five deaths per 1,000 SARS-CoV-2 infections during pregnancy); during the period of Delta predominance, nine COVID-19–associated pregnancy deaths occurred (25 deaths per 1,000 SARS-CoV-2 infections during pregnancy). The median interval from symptom onset to death before and during Delta predominance was 18 days (pre-Delta range = 1–87 days; Delta range = 9–45 days). All decedents had been admitted to an intensive care unit, and 14 required invasive mechanical ventilation. Underlying medical conditions were present in 14 decedents. None of the 15 decedents had been fully vaccinated against COVID-19: five deaths occurred before COVID-19 vaccinations became available in December 2020; one decedent had been partially vaccinated; and nine were unvaccinated. The CDC recommends COVID-19 vaccination for pregnant women to prevent serious illness, death, and adverse pregnancy outcomes from COVID-19. Study limitations include the small sample size and inability to tell whether death was pregnancy-related.
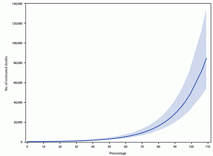
Hospital strain, as measured by ICU bed use, associated with excess deaths 2, 4, and 6 weeks later
In this MMWR, the Cybersecurity & Infrastructure Security Agency (CISA) COVID Task Force examined the relationship between hospital strain and excess deaths during July 4, 2020–July 10, 2021, to assess the impact of COVID-19 surges on hospital system operations and potential effects on other critical infrastructure sectors and national critical functions. The study period included the months during which the highly transmissible SARS-CoV-2 B.1.617.2 (Delta) variant became predominant in the United States. During July 4, 2020–July 10, 2021, as ICU bed occupancy increased, excess deaths increased 2, 4, and 6 weeks later (p<0.01). During this time period, the model predicted that, if ICU bed use nationwide reached 75% capacity an estimated additional 12,000 (95% CI = 8,623–17,294) excess deaths would occur nationally 2 weeks later, with additional deaths at 4 and 6 weeks. As hospitals exceed 100% ICU bed capacity, 80,000 (95% CI = 53,576–132,765) excess deaths would be expected 2 weeks later with additional deaths at 4 and 6 weeks. The nonlinear nature of the curve shows how these negative effects increase exponentially as the system becomes more stressed. As of October 25, 2021, per data from the HHS timeseries dataset, capacity in adult ICUs nationwide has exceeded 75% for at least 12 weeks. This means that the United States continues to experience the high and sustained levels of hospital strain that, according to the model’s results, are associated with significant subsequent increases in excess deaths. Although pandemic-driven ICU bed occupancy is not a direct cause of excess deaths, high ICU capacity is a marker of broader issues that can contribute to excess deaths, such as curtailed services, stressed operations, and public reluctance to seek services.
FIGURE. Estimated number of excess deaths* 2 weeks after corresponding percentage of adult intensive care unit bed occupancy — United States, July 2020–July 2021

* Upper and lower boundaries of shaded area indicate 95% CIs.
RECURRENT TOPICS
Providing COVID-19 vaccinations
All Alaskans and people who work or live in Alaska who are aged 5 years and older are eligible for vaccination against COVID-19.
If you are interested in providing the COVID-19 vaccine in your office or clinic, please visit the COVID-19 Vaccination Program Provider Enrollment page. If you have additional questions, please email Matthew Bobo at matthew.bobo@alaska.gov
Pregnancy
On September 29, the CDC released a health advisory strongly recommending COVID-19 vaccination either before or during pregnancy because the benefits of vaccination outweigh known or potential risks.
For the latest recommendations, check out the CDC webpage on COVID in Pregnant and Recently Pregnant People and recommendations from the American College of Obstetrics and Gynecology.
Monoclonal Antibodies
Monoclonal antibody treatment for COVID-19, REGEN-COV (casirivimab and imdevimab) and Eli Lilly’s bamlanivimab and etesevimab, have been approved to treat mild-moderate COVID-19 and for post-exposure prophylaxis of COVID-19 in individuals age 12 years and older who are at high risk for progression to severe COVID-19.
Handling and storage recommendations for REGEN-COV was recently updated
Casirivimab and imdevimab co-formulated solution in a vial and casirivimab or imdevimab as individual antibody solutions in separate 11.1 mL vials may be used to prepare more than one dose simultaneously as appropriate, either in intravenous bags or in syringes for subcutaneous injection. Discard any product remaining in the vial. Updated package insert
Store unopened casirivimab and imdevimab vials in a refrigerator at 2°C to 8°C (36°F to 46°F) in the original carton to protect from light. Unopened vials may be stored in the original carton at room temperature [up to 25°C (77°F)] and must be used within 30 days. If not used in the 30 days, discard vials
If immediate administration is not possible, store the diluted casirivimab and imdevimab infusion solution in the refrigerator between 2°C to 8°C (36°F to 46°F) for no more than 36 hours or at room temperature up to 25°C (77°F) for no more than 4 hours. If refrigerated, allow the infusion solution to equilibrate to room temperature for approximately 30 minutes prior to administration
If you are interested in providing monoclonal antibody therapy for COVID-19 in your office or clinic, please refer to this guide from the U.S. DHSS, and then send an email to Coleman Cutchins (coleman.cutchins@alaska.gov) and CJ Kim (cj.kim@alaska.gov) for local assistance.
For the latest recommendations, check out the CDC webpage on Monoclonal Antibodies for High-Risk COVID-19 patients and COVID-19 Monoclonal Antibody Resources for Healthcare Providers.
Ivermectin
Current evidence does not support the use of ivermectin for the treatment or prevention of COVID-19.
Post-acute Sequelae of COVID-19 (PASC)
For the latest recommendations, check out the CDC webpage on Post-COVID-19 Syndrome and Evaluating and Caring for Patients with Post-COVID conditions
Myocarditis
For the latest recommendations, check out the CDC webpage on myocarditis and COVID-19 vaccines
COVID-19 Speakers’ Bureau
Anyone can request a free presentation for a group interested in learning more about the COVID-19 vaccines available in Alaska.
Aside from COVID-19
Federal Department of HHS releases new Overdose Prevention Strategy
On October 27, Health and Human Services Secretary Xavier Becerra announced the release of the new HHS Overdose Prevention Strategy, designed to increase access to the full range of care and services for individuals who use substances that cause overdose, and their families. This new strategy focuses on the multiple substances involved in overdose and the diverse treatment approaches for substance use disorder. The new strategy prioritizes four key target areas—primary prevention, harm reduction, evidence-based treatment, and recovery support—and reflects the Biden-Harris Administration principles of maximizing health equity for underserved populations, using best available data and evidence to inform policy and actions, integrating substance use disorder services into other types of health care and social services, and reducing stigma.
Opioids in Alaska
DHSS OSMAP Project HOPE are conducting public narcan Trainings as a community outreach and to increase awareness and access. Email projecthope@alaska.gov.
The Alaska Native Tribal Health Consortium (ANTHC) HIV/STD Prevention and Substance Misuse Prevention programs host free virtual gatherings to discuss harm reduction strategies and resources in Alaska. Guest speakers are Alaska-based experts in the field of harm reduction. On December 1st, there will be a harm reduction training focused on polysubstance use. Other recordings of past harm reduction trainings can be found here.
Several useful materials specific to Alaska opioid safety are at the following webpage. Check it out and print out information to hang up in your community.
Use of Valid Background Check Clearances by Multiple Employers
Providers who have applicants with pending background checks with DHSS BCU may allow individuals to start work prior to the Background Check Program completing their check IF the applicant has documented proof of having a current Alaska DHSS background check (provisional or complete) for another DHSS provider. The applicant must provide their new employer a copy of the final background check eligibility letter for the other provider, and providers are required to maintain a copy of that eligibly document in the employee’s file. Providers who hire employees in this manner MUST provide supervised access to those employees, i.e., to ensure the protection of recipients of services, the provider must maintain a prudent level of awareness of the whereabouts of an individual for whom supervised access is required. Employees working in this way may NOT be the only individual working in a facility or a setting, as another employee must be present to provide the supervised access. The provider’s oversight agency will monitor providers to ensure they are in compliance with these requirements, and providers must submit proof of compliance to those agencies upon request. Questions? Please contact your DHSS oversight division.
Upcoming Events/Conferences/Presentations
Drug Addiction Treatment Act (DATA) Waivers ECHO
UAA Center for Human Development and the State of Alaska Division of Behavioral Health are pleased to offer a new Project ECHO for medical providers who are currently DATA waivered and/or medical providers who are interested in obtaining a DATA waiver.
|
Date
|
Time
|
Session
|
| Dec 8 |
12:00 p.m. |
Buprenorphine pharmacology |
| Jan 12 |
12:00 p.m. |
Preparing for your first OUD MAT visit |
| Feb 9 |
12:00 p.m. |
Successful strategies for buprenorphine home inductions |
| Feb 23 |
12:00 p.m. |
Using extended-release monthly buprenorphine |
| Mar 9 |
12:00 p.m. |
Microdosing/macrodosing buprenorphine |
| Apr 13 |
12:00 p.m. |
All things UDS/oral fluid tests for monitoring |
| May 11 |
12:00 p.m. |
Behavioral Health - Psychosocial adjuncts to MAT |
| Jun 8 |
12:00 p.m. |
Polysubstance use |
| Jul 13 |
12:00 p.m. |
Tapering or stopping buprenorphine treatment |
| Aug 10 |
12:00 p.m. |
Prenatal/OB MAT |
| Sep 14 |
12:00 p.m. |
Understanding and reducing buprenorphine diversion |
Registration link for DATA Waivers ECHO
Hosted and facilitated by UAA’S Center for Human Development Alaska ECHO Project in partnership with the State of Alaska Division of Behavioral Health. For questions, please contact echo@alaskachd.org
2022 Alaska Public Health Summit – January 18-20, 2022
Registration is now open for the 2022 Alaska Health Summit VIRTUAL conference taking place from Tuesday, January 18, 2022 to Thursday, January 20, 2022. The Summit theme will be The Intersection of Public Health and Public Safety, reflecting a wide range of issues and events facing us today. This is the first time ALPHA has created a Summit around a public safety theme that will feature keynote speakers and panels addressing policing across Alaska, corrections and reentry, drug overdose response, inequities in transportation, and other public safety issues, all from a public health perspective.
ANTHC Tribal Health Webinar Series
The ANTHC Tribal Health Webinar series occurs on Friday from 12-1pm on Zoom and is open to the public. Here is the upcoming schedule for the fall and the Zoom link.
|
Date
|
Session
|
| 12/03 |
Marah Gotcsik, MD: ANMC Guideline on Preterm Infant Nutrition through 2 Years Old |
| 12/10 |
Leslie Kerzner, MD: Care of the NICU Grad for Primary Care Providers |
| 01/14 |
Hope Finkelstein, Alaska FASD Program Manager: DHSS FASD Program |
| 01/21 |
Victoria Miller, MFA, LPC: Trauma Informed Care Mini-Series. Part 1: Early Life Adversity, Later Life Disease & Implications for Health Care |
| 01/28 |
Amber Frasure, MS: Trauma Informed Care Mini-Series. Part 2: A Deeper Dive into the Signs and Symptoms of Psychological Trauma and Specific Strategies to "Trauma Inform" your Medical Practice |
| 02/04 |
Amber Frassure, MS: Trauma Informed Care Mini-Series. Part 3: Effectively Communicating with Patients Using Motivational Interviewing |
| 02/11 |
Mary Schneider, BS, REHS: State of Alaska Lead Surveillance Program |
| 02/18 |
Vasisht Srinivasan, MD: Updates in Stroke Management |
Join Zoom Meeting https://anthc.zoom.us/j/98667611681 Meeting ID: 986 6761 1681 One tap mobile +16699006833,,98667611681#
CDC COCA Call
Molecular Approaches for Clinical and Public Health Applications to Detect Influenza and SARS-CoV-2 Viruses - Thursday, December 9, 2021 at 2:00 PM – 3:00 PM ET
During this COCA Call, clinicians will learn critical information about molecular approaches for clinical and public health applications to detect the influenza virus and SARS-CoV-2, the virus that causes COVID-19. Presenters from the Centers for Disease and Prevention (CDC) will review the most up to date guidance on clinical testing for influenza, including situations when influenza and SARS-CoV-2 are co-circulating in a community or other setting. In addition, presenters will provide in-depth discussion on cycle threshold (Ct) values from SARS-CoV-2 diagnostic assays and their correlation with viral load and infectiousness.
CDC Clinical Support: There is a Clinician On-Call Center, a 24-hour hotline with trained CDC clinicians standing by to answer COVID-19 questions. Call 1-800-CDC-INFO (800-232-4636) and ask for the Clinician On-Call Center.
The most up-to-date, evidence based COVID-19 treatment guidelines can be found at: NIH COVID-19 Treatment Guidelines IDSA Guidelines on the Treatment and Management of Patient with COVID-19
Alaska Responders Relief Line (844) 985-8275
Your well-being matters. Your behavioral health colleagues are standing by to talk 24/7: 844-985-8275
Recognizing the unique stressors that providers face, the Division of Behavioral Health has established a 24/7 support line, (844) 985-8275, for healthcare and behavioral professionals impacted by COVID personally and professionally. Staff supporting the call line recognize callers are often first responders and will allow callers to openly express their experiences and feelings serving Alaskans impacted by COVID.
This service is also available to immediate family members of first responders who may be experiencing stress, anxiety and other hard to label emotions as a result of their loved one engaging on the front lines.
AK Clinical Reminders — UPDATED November 30, 2021

These ECHO sessions are produced and facilitated by UAA’s Center for Human Development Alaska ECHO project in partnership with the State of Alaska, Department of Health & Social Services
Session information and recordings of previous ECHO sessions subscribe to ECHO calendar updates | email: echo@alaskachd.org | website: akecho.org
Important Note: Most Division of Public Health ECHO series will be taking a break from December 20-December 31 for the winter holidays. Please check individual ECHO registration pages for additional information on holiday scheduling.
Our Alaska Medical Providers ECHO is returning to a once-monthly schedule, on the 1st Tuesday of the month. The next session will take place Tuesday, December 7. Visit the series registration page for additional information.
Regular Series
Alaska Medical Provider ECHO (formerly COVID-19 for AK Healthcare Providers) Monthly on the 1st Tuesday of the month from 7-8 pm This ECHO aims to increase knowledge and share best practices among medical providers across Alaska as well as to increase access to information for those living in rural areas of the state.
School Health ECHO Every Monday from 3:00-4:00 p.m Register The School Health ECHO is a virtual learning network intended for professionals in the education setting (administrators, school-based nurses, etc.) to interface with a team of medical and education experts in Alaska.
Vaccine ECHO for Providers Weekly on Tuesday from 2-3 p.m. Register The Vaccine ECHO for providers provides planning and operation updates to vaccine providers across Alaska, while answering any questions you may have.
Palliative Care ECHO Monthly on the first Tuesday from 12-1 p.m. This monthly ECHO is for all Alaskan healthcare disciplines supporting patients with serious illness, and aims to provide support and up-to-date information regarding Palliative Care during this period of COVID-19. Our next session will include a didactic presentation Meeting People Where They Are: Providing Palliative Care to Rural Populations by guest presenter Nancy Joiner APRN, ACHPN from the University of North Dakota’s Center for Rural Health.
Public Science ECHO Weekly on Wednesday from 12-1 p.m. register via Zoom The Alaska Public Health Science ECHO is a virtual learning network intended for the general public to interface with our Public Health Leadership Team to explore the science of the COVID-19 virus, other public health topics, and current best practices. Or view via concurrent livestream to Facebook: https://www.facebook.com/akechoprograms
Local Government Public Health ECHO Monthly on the third Wednesday from 3-4 p.m. Register The Local Government Public Health Analysis ECHO is a virtual learning environment intended for local Alaska government leaders to interact with the State Public Health Leadership team and focuses on pandemic mitigation tools available, and how to use them.
Long Term Care Facilities ECHO Second Wednesday of the month from 4-5 p.m. Register Please join other staff and administrators of Alaska’s assisted living homes and residential care facilities to gather, learn, share, and grow. COVID has disrupted the fabric of our daily life and we can always learn from each other as we adjust to the new normal.
Healthcare Specific Situational Awareness ECHO Weekly on Thursday from 12-1 p.m. Register The Healthcare Specific Situational ECHO is a virtual learning network intended for healthcare professionals to interface with our Public Health Leadership Team to explore current best practices and the most recent information related to Public Health.
Perinatal ECHO Monthly on 3rd Thursday from 6-7 p.m. Register The Alaska Perinatal ECHO is a virtual learning network intended for medical providers caring for pregnant patients and their newborns.
EMS ECHO Monthly on the 1st and 3rd Wednesday 1-2 p.m Register The EMS ECHO is a virtual learning network intended for Emergency Medical Services and related personnel in Alaska to amplify best practices. Sessions are topic-driven and typically include a guest presenter or a brief lecture with an interactive case or process discussion.
Co-Occurring Behavioral Health, Opioid and Stimulant Use Disorders ECHO Returning with new didactics! 1st & 3rd Wednesdays from 12:00pm-1:00pm, November 3, 2021 - April 20, 2022 The Co-Occurring Behavioral Health (COBH), Opioid and Stimulant Use Disorders ECHO facilitates a virtual network for behavioral health providers to learn best practice care through real-time access to experienced subject matter experts and their peers. Each session includes a brief lecture, de-identified case presentation for participants to receive feedback on complex cases, and open discussion facilitated by an interdisciplinary team.
Data Waivers ECHO New ECHO! 2nd Wednesdays from 12:00pm-1:00pm, November 10, 2021 - September 14, 2022 The Data Waivers ECHO facilitates a virtual network for clinical providers to learn and implement best practices for offering buprenorphine and other medically assisted treatment (MAT) services under a data waiver. Each session includes a brief lecture, de-identified case presentation for participants to receive feedback on complex cases, and open discussion facilitated by an interdisciplinary team.
|
COVID-19 testing guidelines and test site locator
AK COVID-19 clinical hotline for physicians: 833-751-4212. Staffed 24/7. 8PM-8AM is for urgent/emergent questions only. AK Responders Relief Line: 24/7 behavioral health for everyone working in healthcare during the COVID-19 pandemic: 1-844-985-8275
|